×

Arbitrage betting - Risk free profits

WagerWise Admin 9 November 2023

Arbitrage betting

Arbitrage betting is an advantaged sports betting strategy that allows for guaranteed profits. It works through placing a bet on every outcome of the event. An arbitrage opportunity exists when the sum of the implied probabilities of all the outcomes is less than 100 (or 1 in decimal form).

Here we have the match betting odds from 2 different sportsbooks.

Sportsbook 1

Sportsbook 2

Just by inspecting the odds from the two sportsbooks we can see a big difference in odds for the same outcome. This is what is required for an arbitrage opportunity.

Previously we learned how to calculate book percentage by adding the implied probability of each outcome together. We can find arbitrage opportunities in much the same way, but instead of adding implied probabilities for odds on the same sportsbook, we do this across different sportsbooks. What this looks like is comparing team 1 on sportsbook 1 to team 2 on sportsbook 2 and then repeating for the opposite combination.

We can see the combination of 'Jaguars' from sportsbook 1 and 'Saints' from sportsbook 2 yielded a sum of less than 100%. This means an arbitrage opportunity exists - by betting on both teams in the match we will profit regardless of the outcome.

Calculating percentage

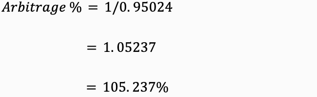
After calculating the sum of the implied probabilities we can find the arbitrage percentage by calculating the inverse of the sum of implied probabilities.

Following on from the above example:

This value allows us to figure out how much we can profit from the opportunity. Betting a total of $200 across the outcomes would result in a profit of $10.47.

Stake sizing

We must calculate specific stake sizes in order to profit regardless of the outcome. In order to achieve this, start by selecting a total amount of money to bet on the outcomes e.g. $200. Next, multiply this total stake by the implied probability of the outcome and finally multiply by the arbitrage percentage.

For Jaguars outcome

For Saints outcome

We can now calculate the actual profit for each outcome of the game by calculating the profit for one outcome and subtracting the stake from the opposite outcome.

If Jaguars win

If Saints win

To confirm our calculations we can check that the stake size for each outcome adds to our total stake amount and the profit for each case equals our previously calculated profit figure.

Arbitrage betting software

Arbitrage bets are rare to find as they require a large difference in odds between sportsbooks and therefore an automated system is essential.

For only $39.95 a month you can unlock risk free opportunities right at your finger tips.

Meet the WagerWise Arbitrage Software.

Our arbitrage software continuously compares sportsbook line pricings in order to unearth risk-free bets for our members.